Официальное опубликование правовых актов
ОФИЦИАЛЬНОЕ ОПУБЛИКОВАНИЕ
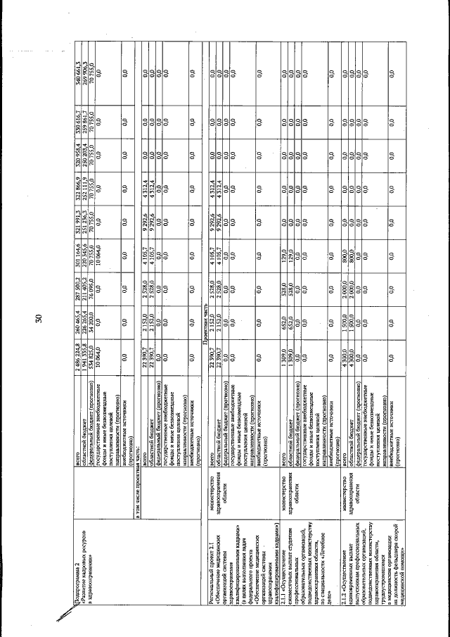
Постановление Правительства Саратовской области от 29.09.2022 № 951-П
"О внесении изменений в государственную программу Саратовской области "Развитие здравоохранения"
Номер опубликования: 6400202210060010
Дата опубликования: 06.10.2022
Страница №31 из 36:
Увеличить