Официальное опубликование правовых актов
ОФИЦИАЛЬНОЕ ОПУБЛИКОВАНИЕ
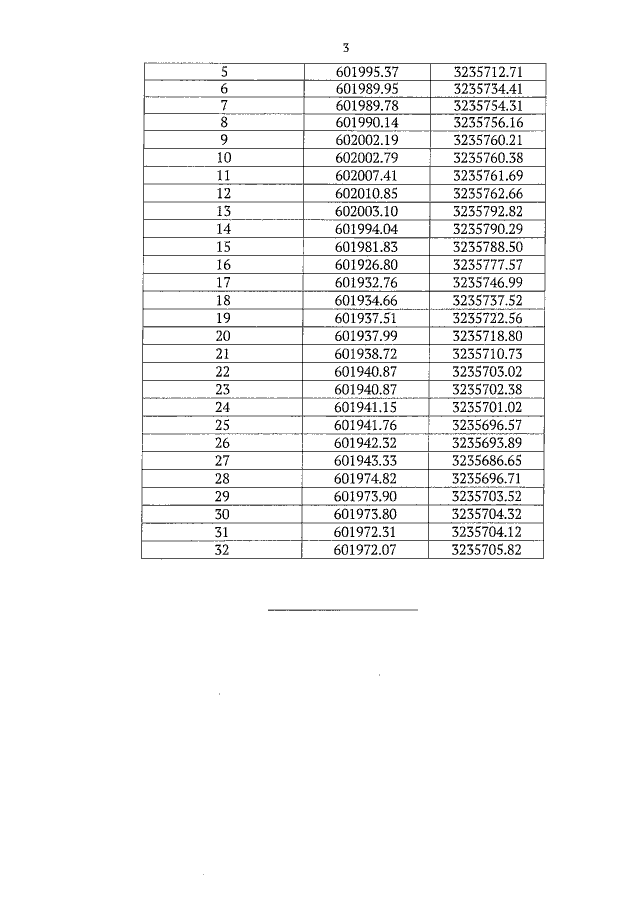
Постановление Правительства Саратовской области от 14.09.2022 № 880-П
"Об утверждении зон охраны объекта культурного наследия регионального значения "Дом, где жил и работал художник К.С. Петров-Водкин", 1910-1912 гг., расположенного по адресу: Саратовская область, г. Хвалынск, ул. Ленина, 208"
Номер опубликования: 6400202209200009
Дата опубликования: 20.09.2022
Страница №5 из 12:
Увеличить