Официальное опубликование правовых актов
ОФИЦИАЛЬНОЕ ОПУБЛИКОВАНИЕ
Постановление Правительства Саратовской области от 30.08.2022 № 813-П
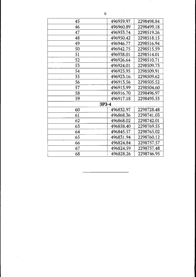
"Об утверждении зон охраны объекта культурного наследия регионального значения "Застройка ул. Московской от ул. им. Горького А.М. до ул. Вольской", конец XIX – начало XX вв., расположенного по адресу: Саратовская область, г. Саратов, участок ул. Московской, ограниченный ул. им. Горького А.М. на востоке, ул. Вольской на западе, и прилегающими к ней с севера и юга внутриквартальными территориями"
Номер опубликования: 6400202209070006
Дата опубликования: 07.09.2022
Страница №17 из 19:
Увеличить