Официальное опубликование правовых актов
ОФИЦИАЛЬНОЕ ОПУБЛИКОВАНИЕ
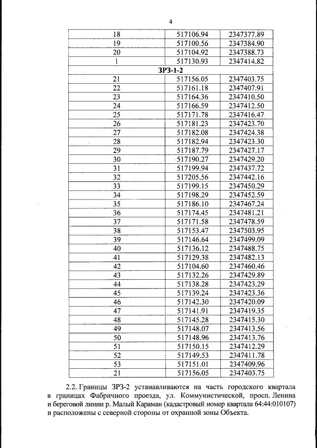
Постановление Правительства Саратовской области от 31.05.2022 № 437-П
"Об утверждении зон охраны объекта культурного наследия регионального значения "Гимназия женская", ХIХ в., расположенного по адресу: Саратовская область, г. Маркс, ул. Коммунистическая, 55"
Номер опубликования: 6400202206070002
Дата опубликования: 07.06.2022
Страница №12 из 18:
Увеличить