Официальное опубликование правовых актов
ОФИЦИАЛЬНОЕ ОПУБЛИКОВАНИЕ
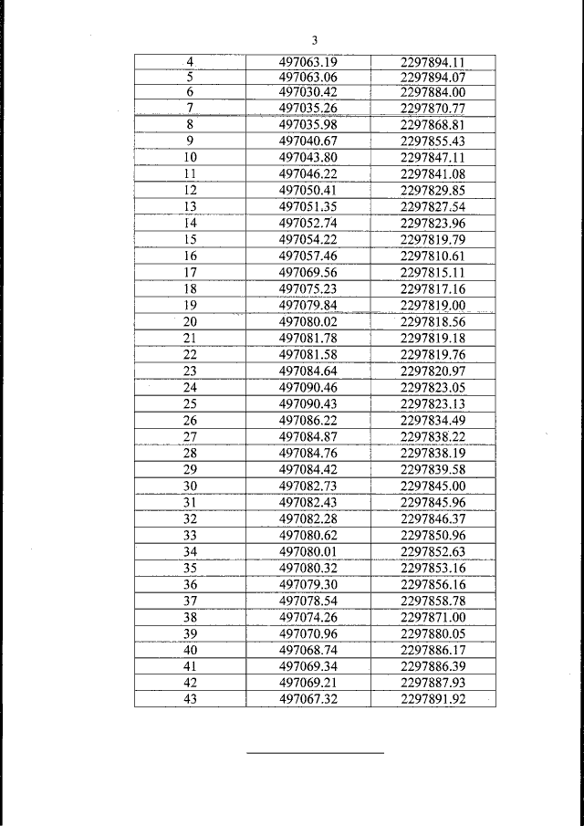
Постановление Правительства Саратовской области от 02.03.2022 № 133-П
"Об утверждении зон охраны объекта культурного наследия местного (муниципального) значения "Усадьба В.А. Агарёвой", 1910-е гг., расположенного по адресу: Саратовская область, г. Саратов, ул. Киселева, 73 / ул. Рахова, 136, 138"
Номер опубликования: 6400202203050004
Дата опубликования: 05.03.2022
Страница №11 из 14:
Увеличить