Официальное опубликование правовых актов
ОФИЦИАЛЬНОЕ ОПУБЛИКОВАНИЕ
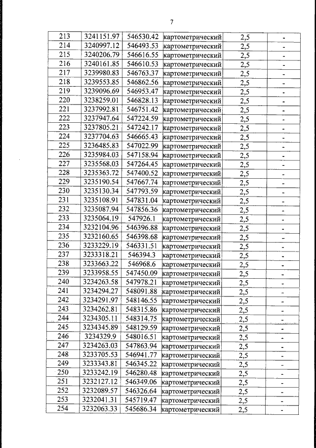
Постановление Губернатора Саратовской области от 01.02.2022 № 29
"О внесении изменения в постановление Губернатора Саратовской области от 7 октября 2020 года № 333"
Номер опубликования: 6400202202030004
Дата опубликования: 03.02.2022
Страница №7 из 11:
Увеличить