Официальное опубликование правовых актов
ОФИЦИАЛЬНОЕ ОПУБЛИКОВАНИЕ
Постановление Правительства Саратовской области от 01.12.2021 № 1036-П
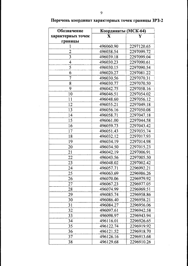
"Об утверждении зон охраны объекта культурного наследия регионального значения "Дом, в котором находилась подпольная типография Саратовского комитета РСДРП в 1905 г.", 1905 г., расположенного по адресу: Саратовская область, г. Саратов, ул. Шелковичная, 58"
Номер опубликования: 6400202112060001
Дата опубликования: 06.12.2021
Страница №18 из 24:
Увеличить