Официальное опубликование правовых актов
ОФИЦИАЛЬНОЕ ОПУБЛИКОВАНИЕ
Постановление Правительства Саратовской области от 08.07.2021 № 535-П
"Об утверждении зон охраны объекта культурного наследия регионального значения "Особняк Рейценштейн", кон. XIX в., расположенного по адресу: Саратовская область, г. Саратов, пл. Соборная, 1 (угол с вз. Бабушкиным)"
Номер опубликования: 6400202107120014
Дата опубликования: 12.07.2021
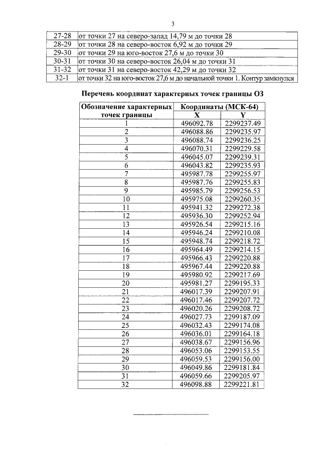
Страница №5 из 13:
Увеличить