Официальное опубликование правовых актов
ОФИЦИАЛЬНОЕ ОПУБЛИКОВАНИЕ
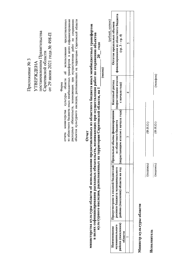
Постановление Правительства Саратовской области от 29.06.2021 № 498-П
"О методике распределения и порядке предоставления из областного бюджета иных межбюджетных трансфертов бюджетам муниципальных районов и поселений области в целях софинансирования расходных обязательств, возникающих при осуществлении работ по сохранению объектов культурного наследия, расположенных на территории Саратовской области"
Номер опубликования: 6400202107060002
Дата опубликования: 06.07.2021
Страница №7 из 7:
Увеличить