Официальное опубликование правовых актов
ОФИЦИАЛЬНОЕ ОПУБЛИКОВАНИЕ
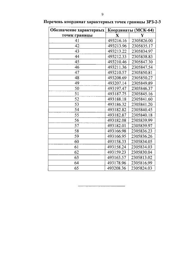
Постановление Правительства Саратовской области от 28.05.2021 № 396-П
"Об утверждении зон охраны объекта культурного наследия регионального значения "Особняк", XIX в., расположенного по адресу: Саратовская область, г. Энгельс, ул. Красноармейская, 12"
Номер опубликования: 6400202106020005
Дата опубликования: 02.06.2021
Страница №16 из 21:
Увеличить