Официальное опубликование правовых актов
ОФИЦИАЛЬНОЕ ОПУБЛИКОВАНИЕ
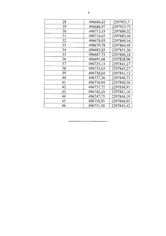
Постановление Правительства Саратовской области от 22.03.2021 № 171-П
"Об утверждении зон охраны объекта культурного наследия регионального значения "Кинотеатр "Победа", сер. XX в., расположенного по адресу: Саратовская область, г. Саратов, пл. Кирова, 1"
Номер опубликования: 6400202103250007
Дата опубликования: 25.03.2021
Страница №17 из 18:
Увеличить