Официальное опубликование правовых актов
ОФИЦИАЛЬНОЕ ОПУБЛИКОВАНИЕ
Постановление Правительства Саратовской области от 30.10.2020 № 880-П
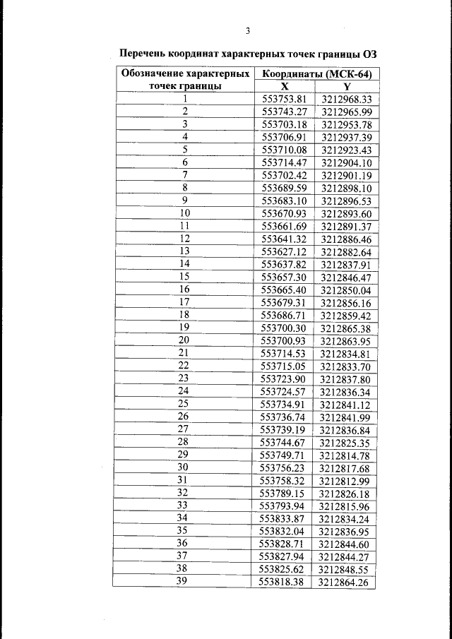
"Об утверждении зон охраны объекта культурного наследия регионального значения "Торговый дом братьев Махунцевых", нач. ХХ в., расположенного по адресу: Саратовская область, г. Балаково, ул. Чернышевского, 26 / угол с ул. 20 лет ВЛКСМ"
Номер опубликования: 6400202011050003
Дата опубликования: 05.11.2020
Страница №5 из 16:
Увеличить