Официальное опубликование правовых актов
ОФИЦИАЛЬНОЕ ОПУБЛИКОВАНИЕ
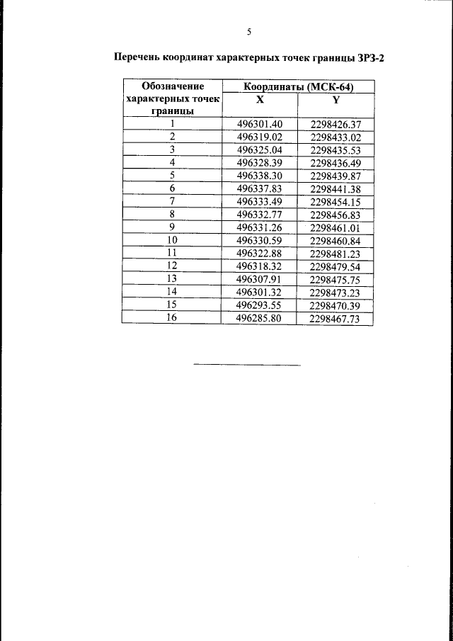
Постановление Правительства Саратовской области от 05.10.2020 № 827-П
"Об утверждении зон охраны объекта культурного наследия местного (муниципального) значения "Жилые дома В.И. Маковского (2 здания)", 1890-е гг., расположенного по адресу: Саратовская область, г. Саратов, ул. Сакко и Ванцетти, 39"
Номер опубликования: 6400202010080008
Дата опубликования: 08.10.2020
Страница №12 из 17:
Увеличить