Официальное опубликование правовых актов
ОФИЦИАЛЬНОЕ ОПУБЛИКОВАНИЕ
Постановление Правительства Саратовской области от 06.10.2020 № 832-П
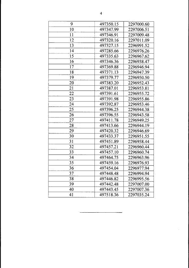
"Об утверждении зон охраны объекта культурного наследия регионального значения "Здание типографии Шельгорна", 1909-1910 гг., расположенного по адресу: Саратовская область, г. Саратов, ул. Университетская, 55"
Номер опубликования: 6400202010080005
Дата опубликования: 08.10.2020
Страница №6 из 15:
Увеличить