Официальное опубликование правовых актов
ОФИЦИАЛЬНОЕ ОПУБЛИКОВАНИЕ
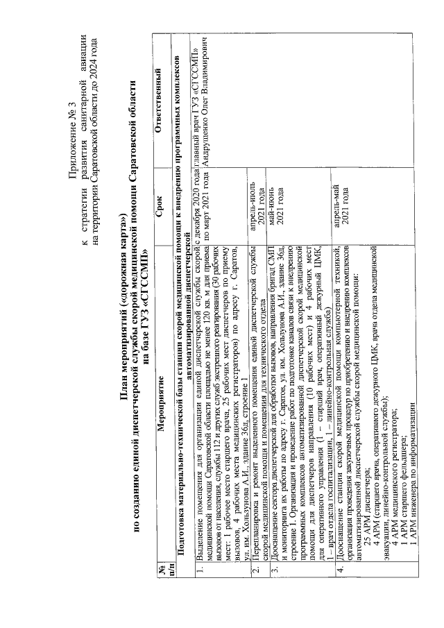
Постановление Правительства Саратовской области от 12.08.2020 № 684-П
"Об утверждении стратегии развития санитарной авиации на территории Саратовской области до 2024 года"
Номер опубликования: 6400202008170006
Дата опубликования: 17.08.2020
Страница №51 из 52:
Увеличить