Официальное опубликование правовых актов
ОФИЦИАЛЬНОЕ ОПУБЛИКОВАНИЕ
Постановление Правительства Саратовской области от 05.08.2020 № 661-П
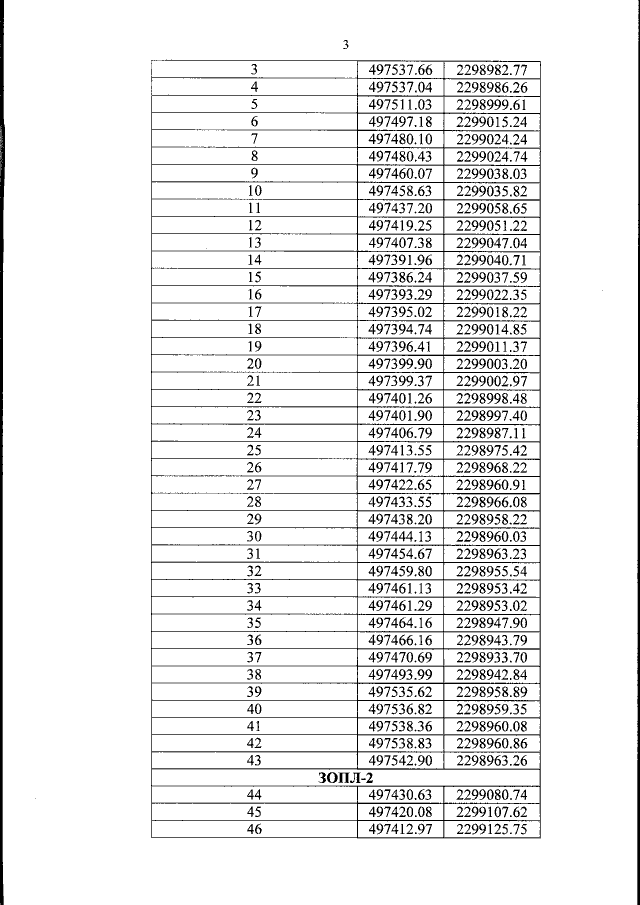
"Об утверждении зон охраны объекта культурного наследия регионального значения "Церковь Покрова пресвятой богородицы", кон. XIX в., расположенного по адресу: Саратовская область, г. Саратов, ул. Горького, 85"
Номер опубликования: 6400202008070008
Дата опубликования: 07.08.2020
Страница №44 из 46:
Увеличить