Официальное опубликование правовых актов
ОФИЦИАЛЬНОЕ ОПУБЛИКОВАНИЕ
Постановление Правительства Саратовской области от 13.05.2020 № 382-П
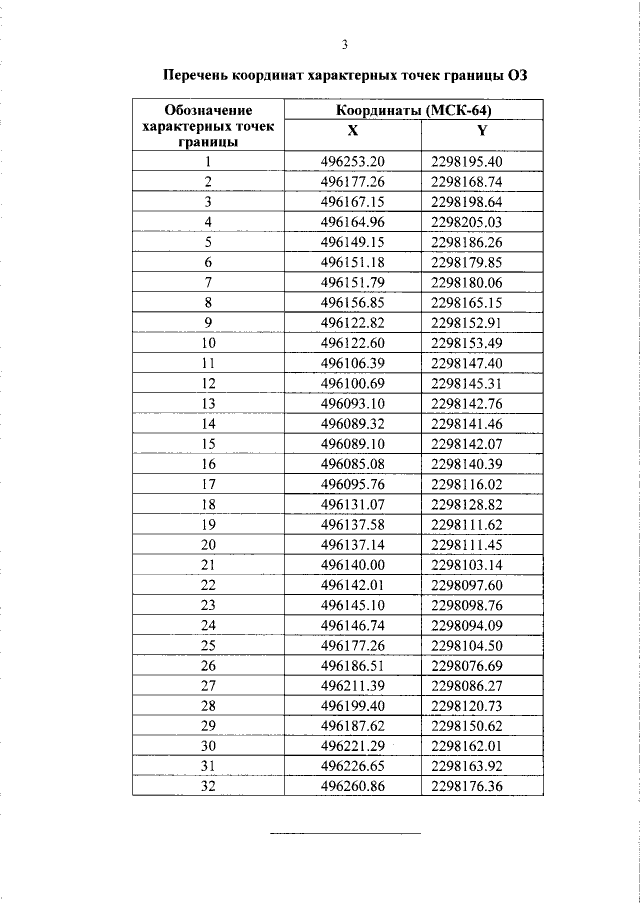
"Об утверждении зон охраны объекта культурного наследия регионального значения "Особняк Тимофеева", нач. ХХ в., расположенного по адресу: Саратовская область, г. Саратов, ул. Вольская, 55 / ул. им. Т.Г. Шевченко, 29"
Номер опубликования: 6400202005180002
Дата опубликования: 18.05.2020
Страница №5 из 16:
Увеличить