Официальное опубликование правовых актов
ОФИЦИАЛЬНОЕ ОПУБЛИКОВАНИЕ
Постановление Правительства Саратовской области от 08.05.2020 № 372-П
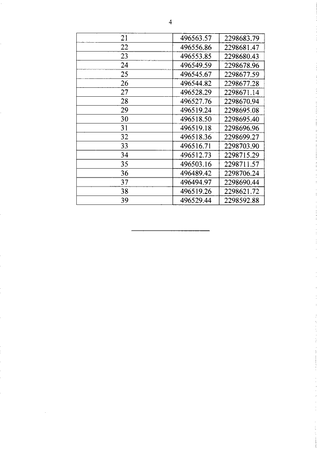
"Об утверждении зон охраны объекта культурного наследия регионального значения "Кинотеатр "Гранд-Мишель" ("Центральный")", кон. XIX в., расположенного по адресу: Саратовская область, г. Саратов, проспект им. Кирова С.М., 22"
Номер опубликования: 6400202005150010
Дата опубликования: 15.05.2020
Страница №6 из 15:
Увеличить