Официальное опубликование правовых актов
ОФИЦИАЛЬНОЕ ОПУБЛИКОВАНИЕ
Постановление Правительства Саратовской области от 28.01.2020 № 39-П
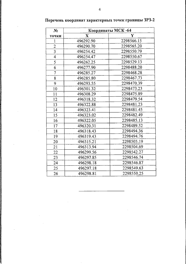
"Об утверждении зон охраны объекта культурного наследия регионального значения "Усадьба инженера В.Д. Захарова, кон. XIX в. (2 здания)", кон. XIX в., расположенного по адресу: Саратовская область, г. Саратов, ул. Пушкина, 3"
Номер опубликования: 6400202002030008
Дата опубликования: 03.02.2020
Страница №14 из 20:
Увеличить