Постановление Правительства Саратовской области от 02.10.2019 № 698-П
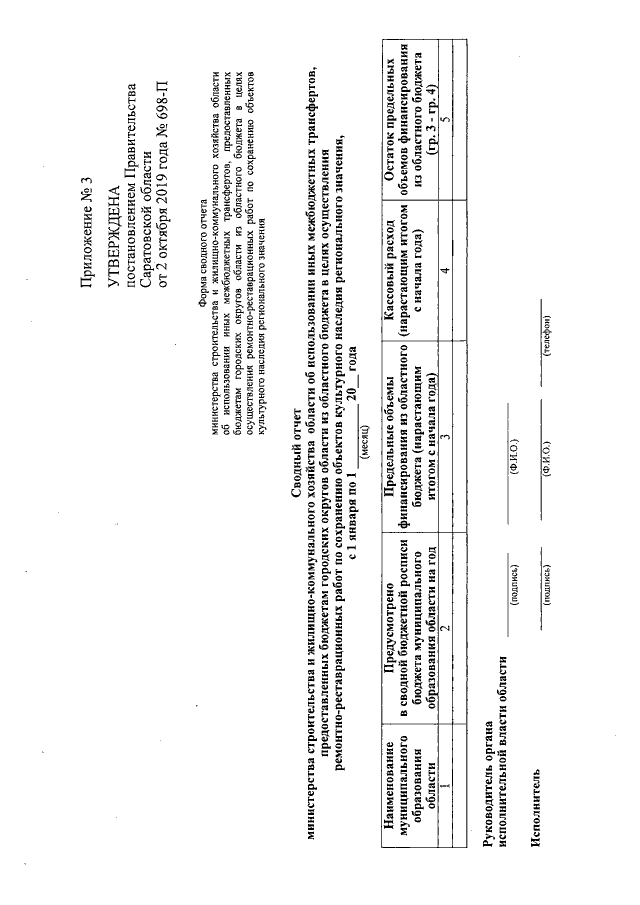
"О порядке предоставления из областного бюджета бюджетам городских округов области иных межбюджетных трансфертов в целях осуществления ремонтно-реставрационных работ по сохранению объектов культурного наследия регионального значения"
"О порядке предоставления из областного бюджета бюджетам городских округов области иных межбюджетных трансфертов в целях осуществления ремонтно-реставрационных работ по сохранению объектов культурного наследия регионального значения"
Номер опубликования: 6400201910090007
Дата опубликования:
09.10.2019
