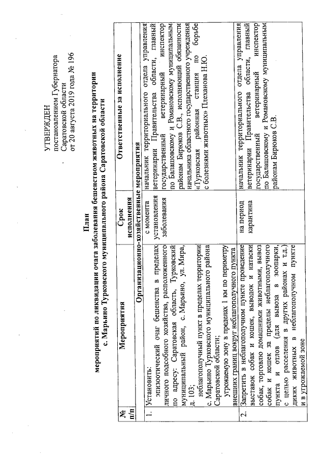
Постановление Губернатора Саратовской области от 20.08.2019 № 196
"Об установлении карантина по заболеванию бешенством животных на территории с. Марьино Турковского муниципального района Саратовской области"
"Об установлении карантина по заболеванию бешенством животных на территории с. Марьино Турковского муниципального района Саратовской области"
Номер опубликования: 6400201908260014
Дата опубликования:
26.08.2019
