Официальное опубликование правовых актов
ОФИЦИАЛЬНОЕ ОПУБЛИКОВАНИЕ
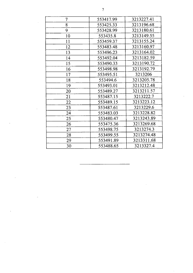
Постановление Правительства Саратовской области от 21.08.2019 № 600-П
"Об утверждении зон охраны объекта культурного наследия регионального значения "Особняк Зайцева", кон. XIX в, расположенного по адресу: Саратовская область, г. Балаково, ул. Братьев Захаровых, 92 (угол с ул. Ленина)"
Номер опубликования: 6400201908260010
Дата опубликования: 26.08.2019
Страница №14 из 19:
Увеличить