Официальное опубликование правовых актов
ОФИЦИАЛЬНОЕ ОПУБЛИКОВАНИЕ
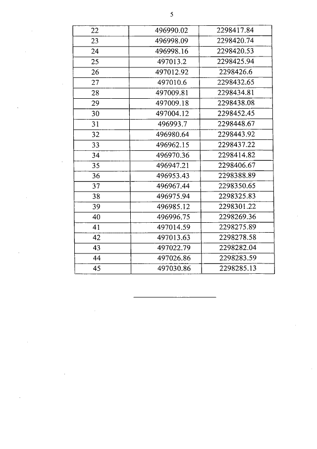
Постановление Правительства Саратовской области от 02.08.2019 № 544-П
"Об утверждении зон охраны объекта культурного наследия регионального значения "Особняк Сибриной с оградой и воротами", конец XIX в., расположенного по адресу: Саратовская область, г. Саратов, ул. Московская, 99"
Номер опубликования: 6400201908080005
Дата опубликования: 08.08.2019
Страница №16 из 19:
Увеличить