Официальное опубликование правовых актов
ОФИЦИАЛЬНОЕ ОПУБЛИКОВАНИЕ
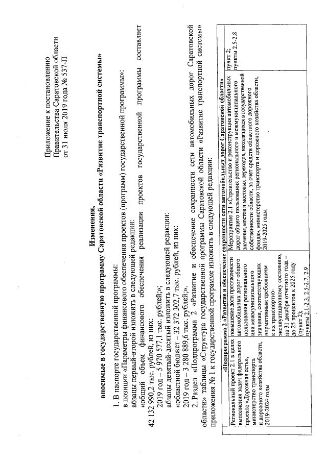
Постановление Правительства Саратовской области от 31.07.2019 № 537-П
"О внесении изменений в государственную программу Саратовской области "Развитие транспортной системы"
Номер опубликования: 6400201908060004
Дата опубликования: 06.08.2019
Страница №2 из 16:
Увеличить