Официальное опубликование правовых актов
ОФИЦИАЛЬНОЕ ОПУБЛИКОВАНИЕ
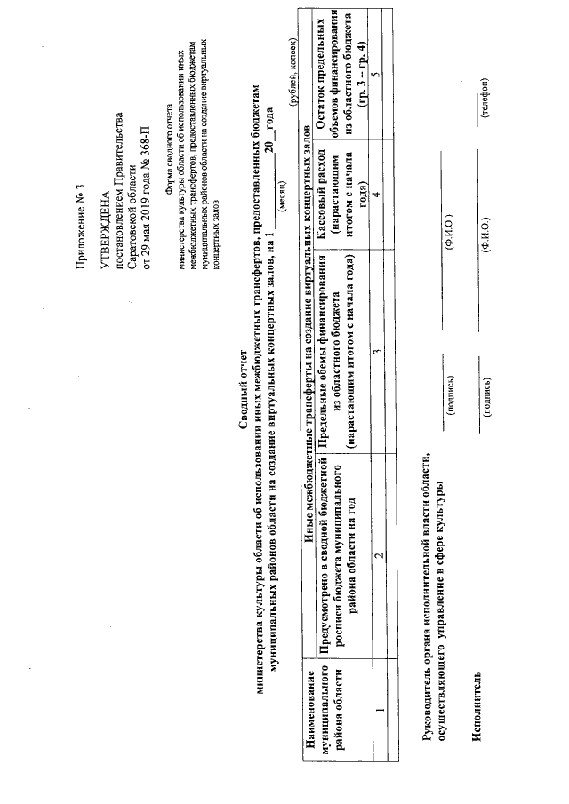
Постановление Правительства Саратовской области от 29.05.2019 № 368-П
"О порядке предоставления из областного бюджета бюджетам муниципальных районов области иных межбюджетных трансфертов на создание виртуальных концертных залов"
Номер опубликования: 6400201906030003
Дата опубликования: 03.06.2019
Страница №5 из 5:
Увеличить