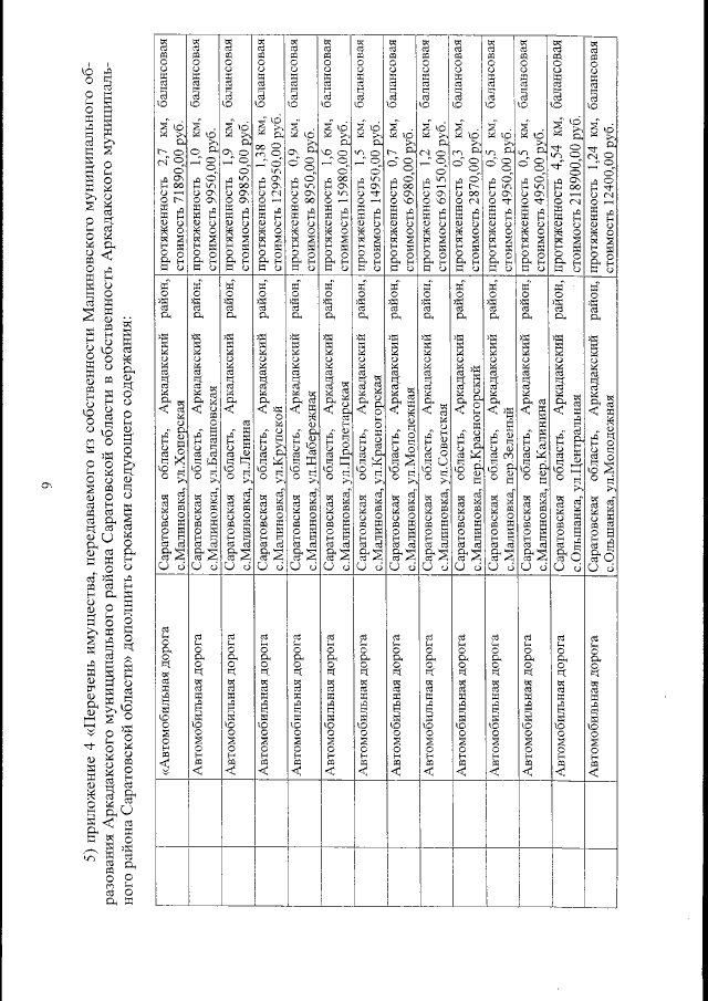
Закон Саратовской области от 27.04.2016 № 61-ЗСО
"О внесении изменений в Закон Саратовской области "О разграничении муниципального имущества между Аркадакским муниципальным районом Саратовской области и сельскими поселениями в его составе"
"О внесении изменений в Закон Саратовской области "О разграничении муниципального имущества между Аркадакским муниципальным районом Саратовской области и сельскими поселениями в его составе"
Номер опубликования: 6400201604290026
Дата опубликования:
29.04.2016
