Официальное опубликование правовых актов
ОФИЦИАЛЬНОЕ ОПУБЛИКОВАНИЕ
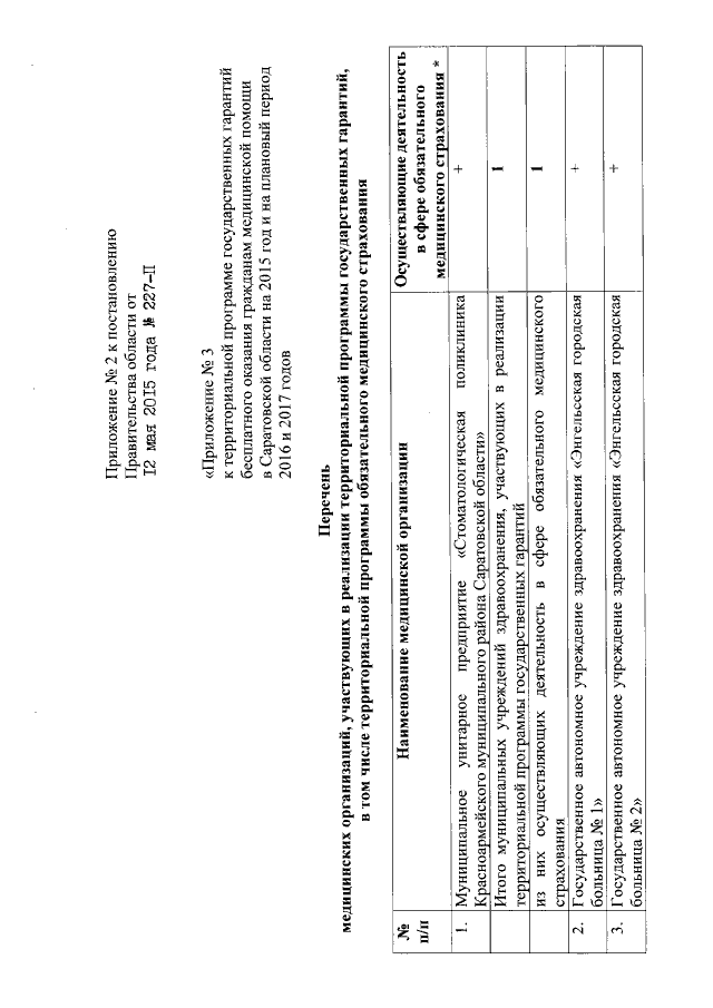
Постановление Правительства Саратовской области от 12.05.2015 № 227-П
"О внесении изменений в постановление Правительства Саратовской области от 25 декабря 2014 года № 710-П"
Номер опубликования: 6400201505150006
Дата опубликования: 15.05.2015
Страница №5 из 110:
Увеличить