Официальное опубликование правовых актов
ОФИЦИАЛЬНОЕ ОПУБЛИКОВАНИЕ
Приказ Государственной инспекции по охране объектов культурного наследия Самарской области от 27.02.2026 № 25
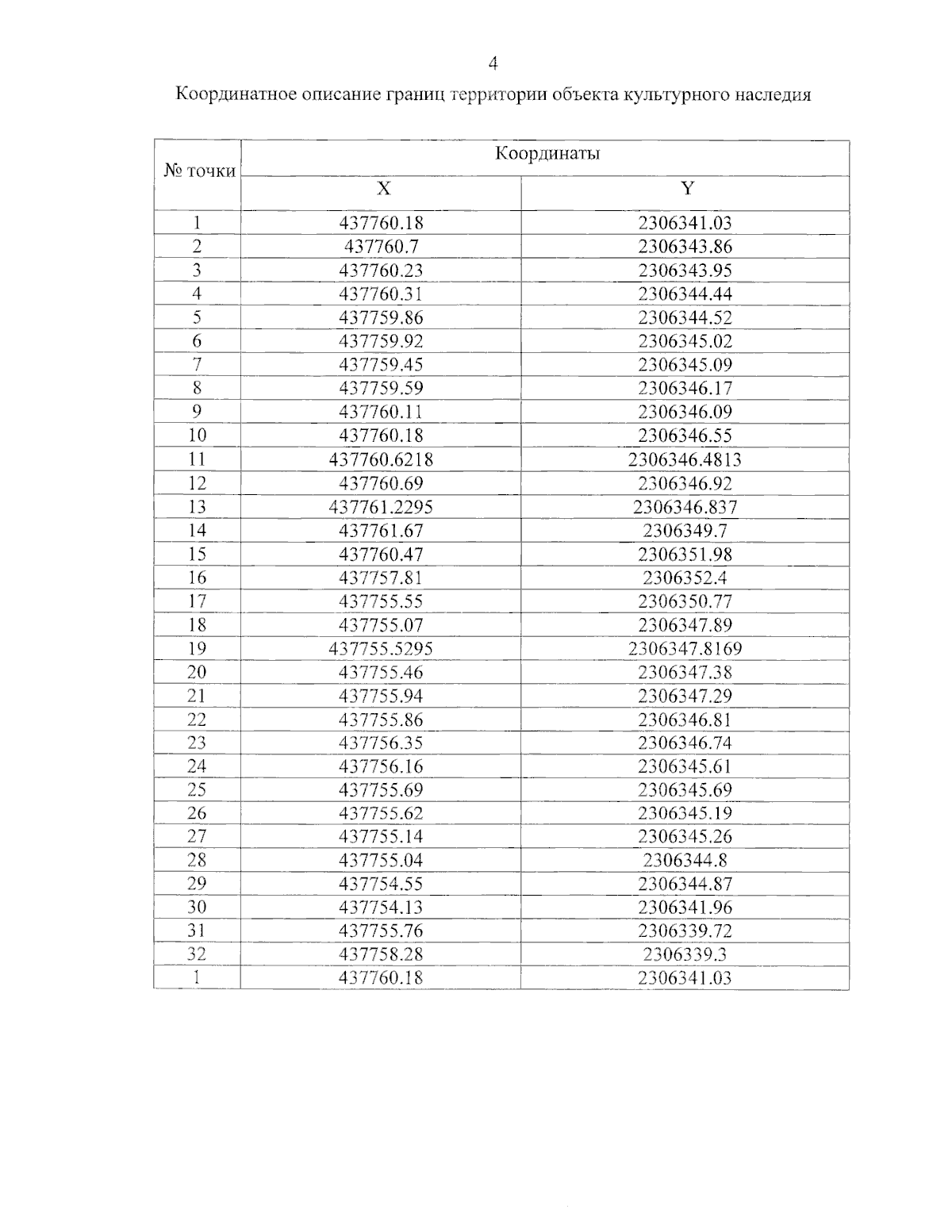
"Об исключении выявленных объектов культурного наследия из Перечня выявленных объектов культурного наследия, расположенных на территории Самарской области, включении их в единый государственный реестр объектов культурного наследия (памятников истории и культуры) народов Российской Федерации, утверждении границ территорий, режима использования территории и предметов охраны объектов культурного наследия"
(Зарегистрирован 27.02.2026 № ГИООКН 2625)
Номер опубликования: 6301202603020002
Дата опубликования: 02.03.2026
Страница №10 из 17:
Увеличить