Официальное опубликование правовых актов
ОФИЦИАЛЬНОЕ ОПУБЛИКОВАНИЕ
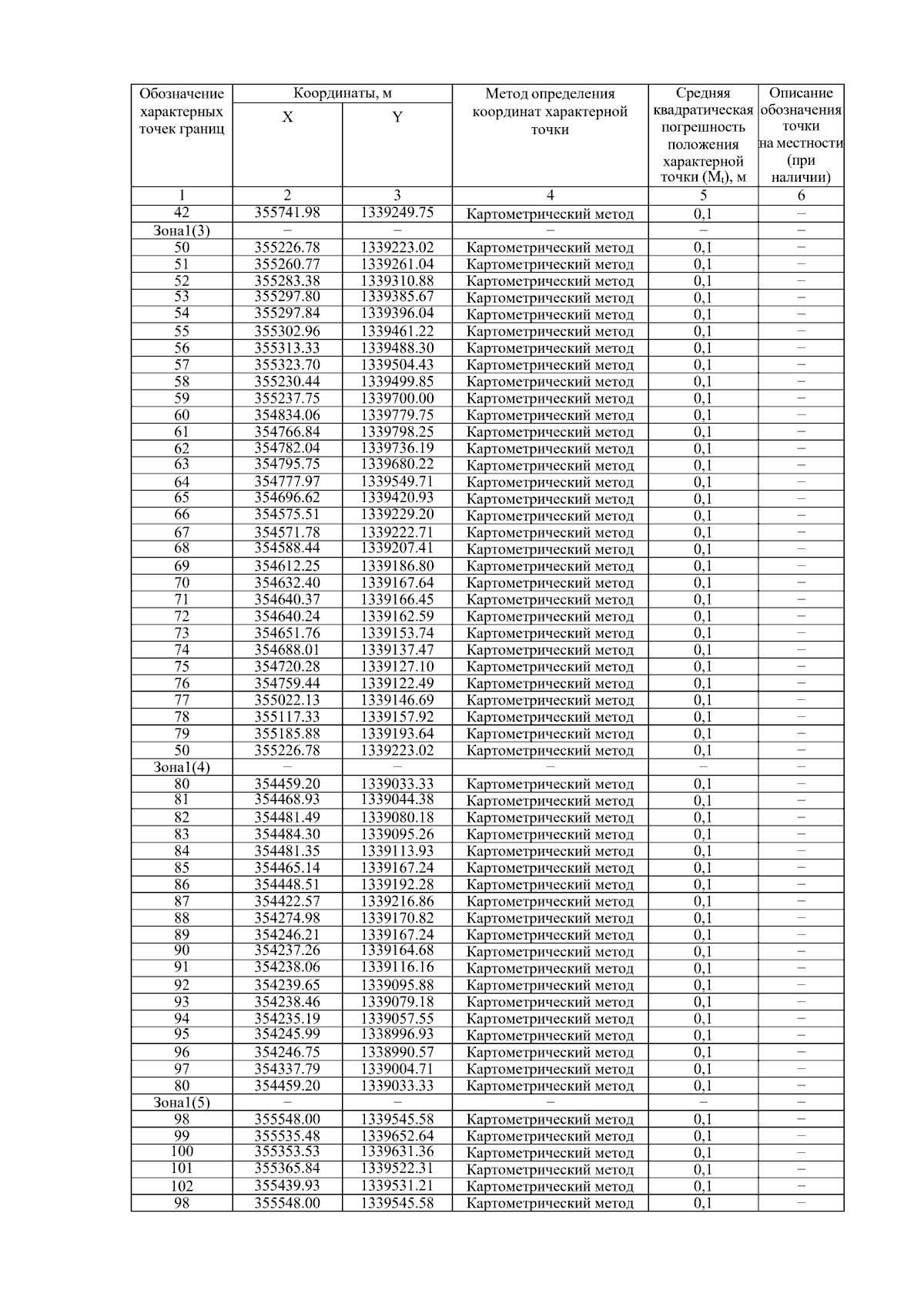
Приказ Министерства градостроительной политики Самарской области от 11.02.2026 № 91-п
"Об утверждении изменений в Правила землепользования и застройки сельского поселения Звезда муниципального района Безенчукский Самарской области, утвержденные решением Собрания представителей сельского поселения Звезда муниципального района Безенчукский Самарской области от 19.12.2013 № 98/23"
(Зарегистрирован 11.02.2026 № МГП-26-91)
Номер опубликования: 6301202602120001
Дата опубликования: 12.02.2026
Страница №7 из 8:
Увеличить