Официальное опубликование правовых актов
ОФИЦИАЛЬНОЕ ОПУБЛИКОВАНИЕ
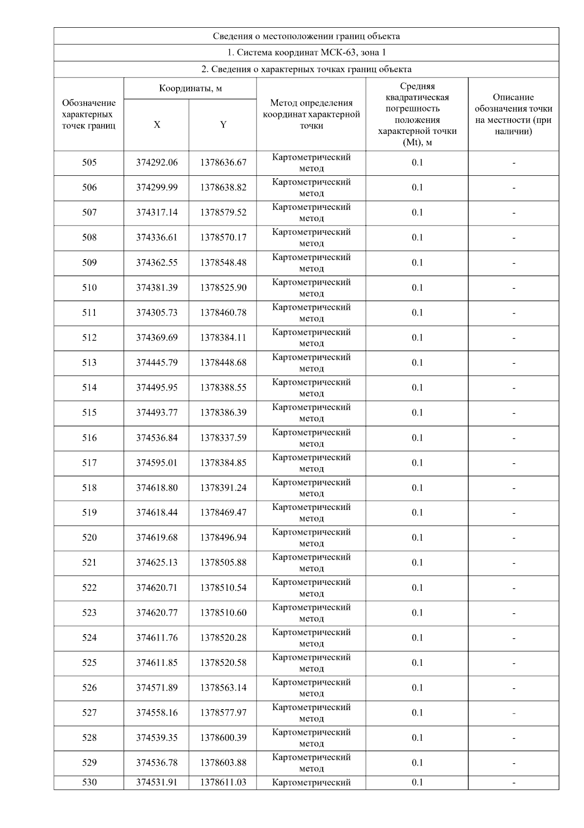
Приказ Министерства градостроительной политики Самарской области от 17.12.2025 № 603-п
"Об утверждении изменений в Правила землепользования и застройки сельского поселения Лопатино муниципального района Волжский Самарской области, утвержденные решением Собрания представителей сельского поселения Лопатино муниципального района Волжский Самарской области от 25.12.2013 № 112"
(Зарегистрирован 17.12.2025 № МГП-25-603)
Номер опубликования: 6301202512180006
Дата опубликования: 18.12.2025
Страница №166 из 463:
Увеличить