Официальное опубликование правовых актов
ОФИЦИАЛЬНОЕ ОПУБЛИКОВАНИЕ
Приказ Министерства имущественных отношений Самарской области от 11.04.2025 № 727
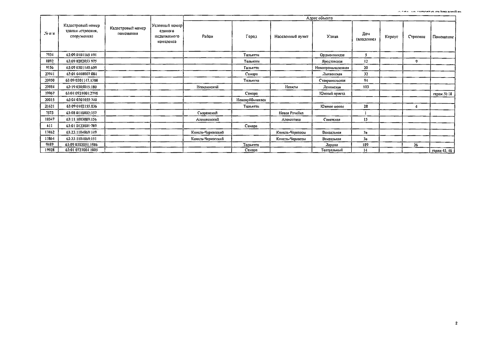
"О внесении изменений в приказ министерства имущественных отношений Самарской области от 03.11.2023 № 2365 "Об определении Перечня объектов недвижимого имущества, находящихся на территории Самарской области, в отношении которых налоговая база определяется как их кадастровая стоимость для целей налогообложения, на 2024 год"
(Зарегистрирован 11.04.2025 № МИО-25/727)
Номер опубликования: 6301202504140002
Дата опубликования: 14.04.2025
Страница №7 из 12:
Увеличить