Официальное опубликование правовых актов
ОФИЦИАЛЬНОЕ ОПУБЛИКОВАНИЕ
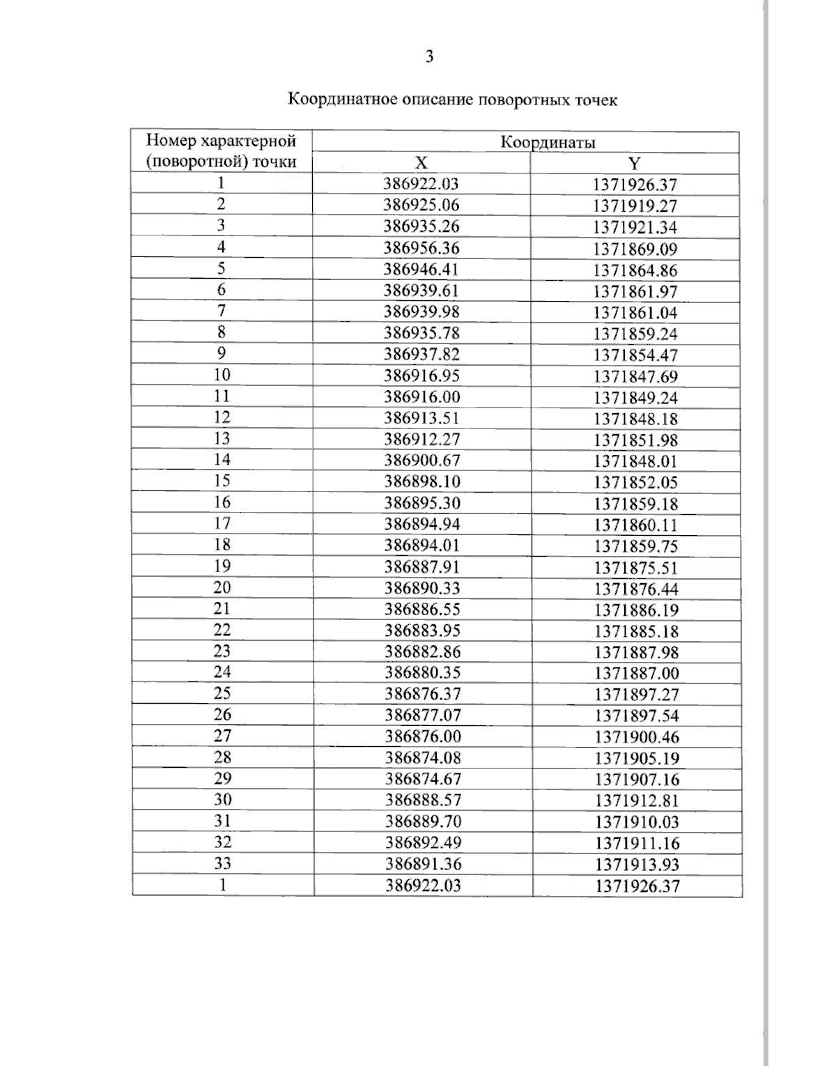
Приказ Государственной инспекции по охране объектов культурного наследия Самарской области от 07.03.2025 № 29
"Об утверждении границ территорий объектов культурного наследия федерального значения, расположенных на территории городского округа Самара Самарской области, режимов использования земель в границах данных территорий"
(Зарегистрирован 07.03.2025 № ГИООКН 2529)
Номер опубликования: 6301202503100009
Дата опубликования: 10.03.2025
Страница №9 из 119:
Увеличить