Официальное опубликование правовых актов
ОФИЦИАЛЬНОЕ ОПУБЛИКОВАНИЕ
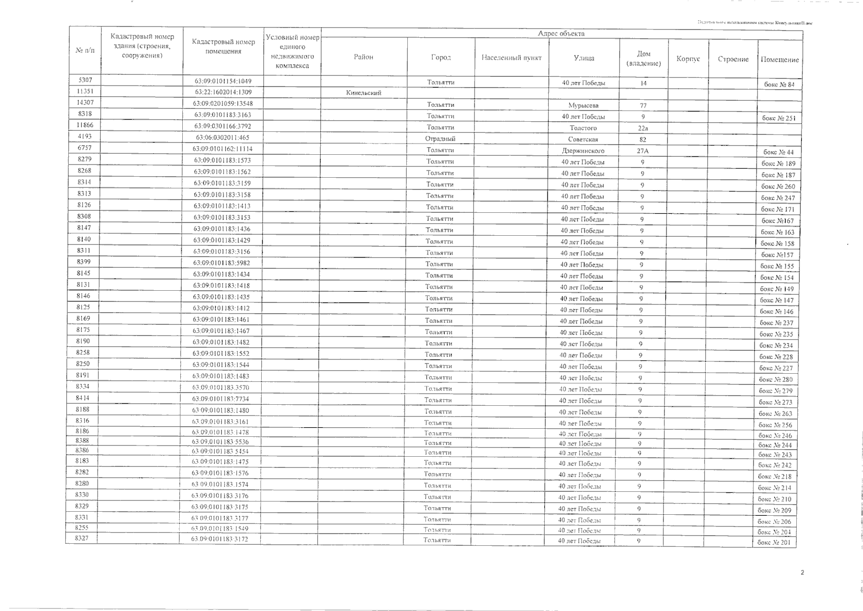
Приказ Министерства имущественных отношений Самарской области от 21.11.2024 № 2792
"О внесении изменений в приказ министерства имущественных отношений Самарской области от 22.10.2021 № 2233 "Об определении Перечня объектов недвижимого имущества, находящихся на территории Самарской области, в отношении которых налоговая база определяется как их кадастровая стоимость для целей налогообложения, на 2022 год"
(Зарегистрирован 21.11.2024 № МИО-24/2792)
Номер опубликования: 6301202411220002
Дата опубликования: 22.11.2024
Страница №9 из 11:
Увеличить