Официальное опубликование правовых актов
ОФИЦИАЛЬНОЕ ОПУБЛИКОВАНИЕ
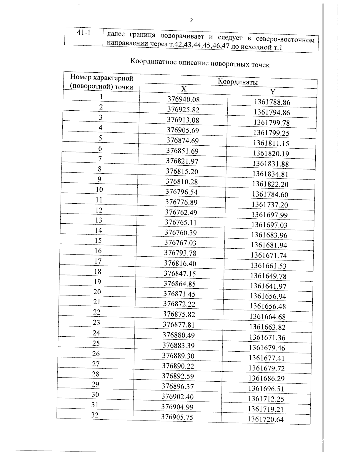
Приказ Управления государственной охраны объектов культурного наследия Самарской области от 24.10.2024 № 261 "Об утверждении границ зон охраны объекта культурного наследия регионального значения "Административные здания", расположенного по адресу: г. Новокуйбышевск, ул. Белинского, д. 12, литера А, д. 14, литеры Аа, режимов использования земель и требований к градостроительным регламентам в границах данных зон"
(Зарегистрирован 24.10.2024 № УГООКН 24261)
Номер опубликования: 6301202410250009
Дата опубликования: 25.10.2024
Страница №4 из 9:
Увеличить