Официальное опубликование правовых актов
ОФИЦИАЛЬНОЕ ОПУБЛИКОВАНИЕ
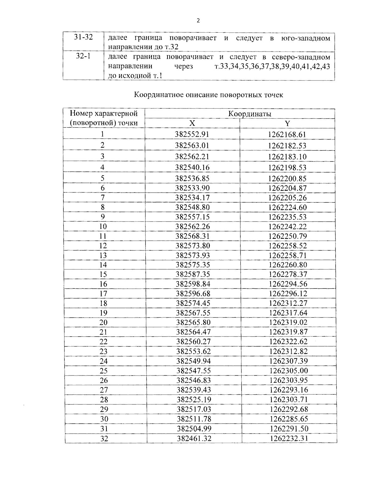
Приказ Управления государственной охраны объектов культурного наследия Самарской области от 19.06.2024 № 152
"Об утверждении границ зон охраны объекта культурного наследия регионального значения "Жилой дом", расположенного по адресу: г. Сызрань, ул. Ульяновская, 64, режимов использования земель и требований к градостроительным регламентам в границах данных зон"
(Зарегистрирован 19.06.2024 № УГООКН 24152)
Номер опубликования: 6301202406200013
Дата опубликования: 20.06.2024
Страница №4 из 9:
Увеличить