Официальное опубликование правовых актов
ОФИЦИАЛЬНОЕ ОПУБЛИКОВАНИЕ
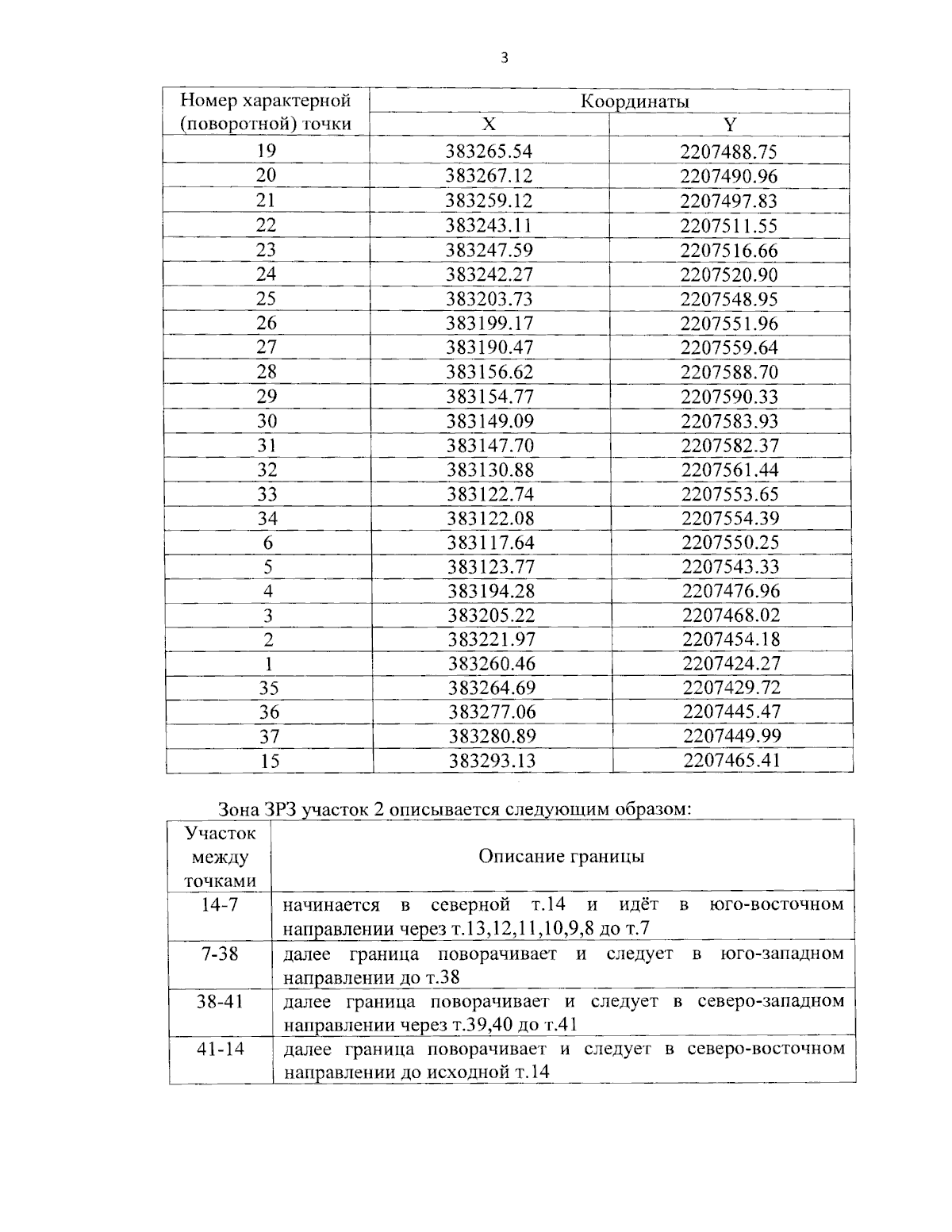
Приказ Управления государственной охраны объектов культурного наследия Самарской области от 05.06.2024 № 123
"Об утверждении границ зон охраны объекта культурного наследия регионального значения "Дом купца Кукушкина", расположенного по адресу: Кинельский район, c. Бобровка, ул. Кооперативная, д. 69, режимов использования земель и требований к градостроительным регламентам в границах данных зон"
(Зарегистрирован 05.06.2024 № УГООКН 24123)
Номер опубликования: 6301202406070009
Дата опубликования: 07.06.2024
Страница №5 из 13:
Увеличить