Официальное опубликование правовых актов
ОФИЦИАЛЬНОЕ ОПУБЛИКОВАНИЕ
Приказ Министерства образования и науки Самарской области от 09.04.2024 № 230-од
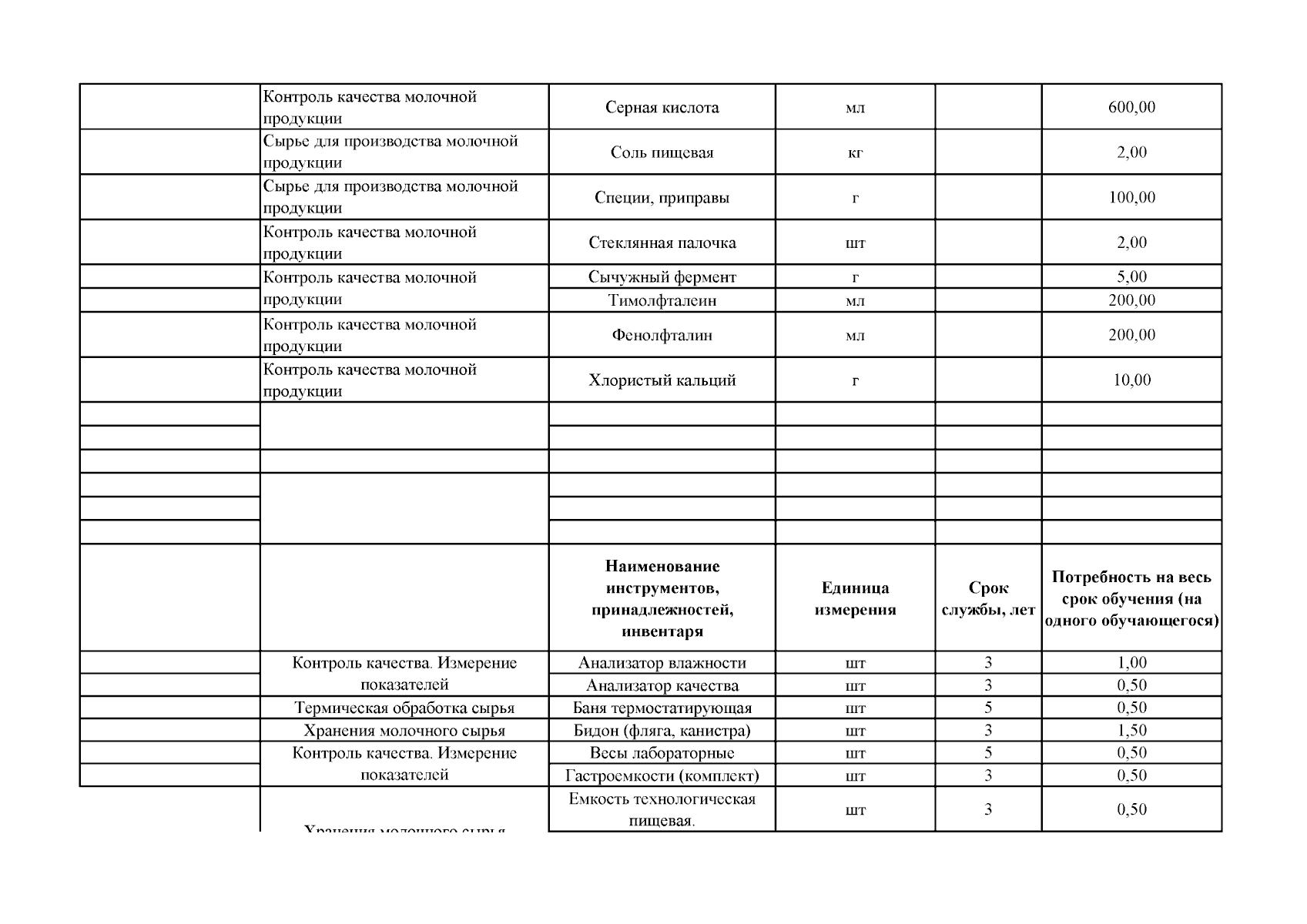
"О внесении изменений в приказ министерства образования и науки Самарской области от 03.07.2013 № 283-од "Об утверждении Норм расходов материалов, инструментов, принадлежностей и инвентаря государственных профессиональных образовательных организаций, находящихся в ведении Самарской области, на одного обучающегося при подготовке по профессиям и специальностям"
(Зарегистрирован 09.04.2024 № МО-24-230)
Номер опубликования: 6301202404100006
Дата опубликования: 10.04.2024
Страница №89 из 354:
Увеличить