Официальное опубликование правовых актов
ОФИЦИАЛЬНОЕ ОПУБЛИКОВАНИЕ
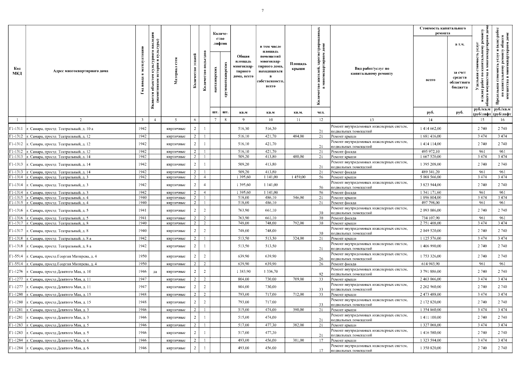
Приказ Министерства энергетики и жилищно-коммунального хозяйства Самарской области от 01.02.2024 № 12
"О внесении изменений в приказ министерства энергетики и жилищно-коммунального хозяйства Самарской области от 28.12.2022 № 279 "Об утверждении регионального краткосрочного плана реализации региональной программы капитального ремонта общего имущества в многоквартирных домах, расположенных на территории Самарской области, на 2023 – 2025 годы"
(Зарегистрирован 01.02.2024 № МЭЖКХ-24-12)
Номер опубликования: 6301202402010007
Дата опубликования: 01.02.2024
Страница №9 из 108:
Увеличить