Официальное опубликование правовых актов
ОФИЦИАЛЬНОЕ ОПУБЛИКОВАНИЕ
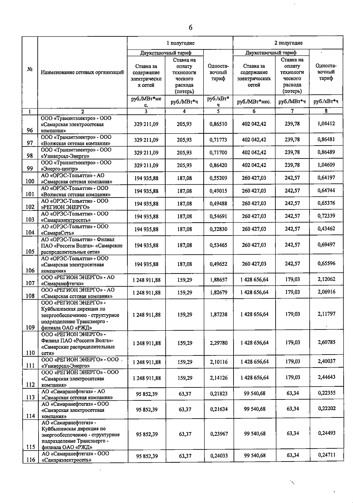
Приказ Департамента ценового и тарифного регулирования Самарской области от 29.11.2023 № 494
"Об установлении индивидуальных тарифов на услуги по передаче электрической энергии для взаиморасчетов между сетевыми организациями Самарской области"
(Зарегистрирован 29.11.2023 № ДЦТ-23-494)
Номер опубликования: 6301202311300004
Дата опубликования: 30.11.2023
Страница №8 из 11:
Увеличить