Официальное опубликование правовых актов
ОФИЦИАЛЬНОЕ ОПУБЛИКОВАНИЕ
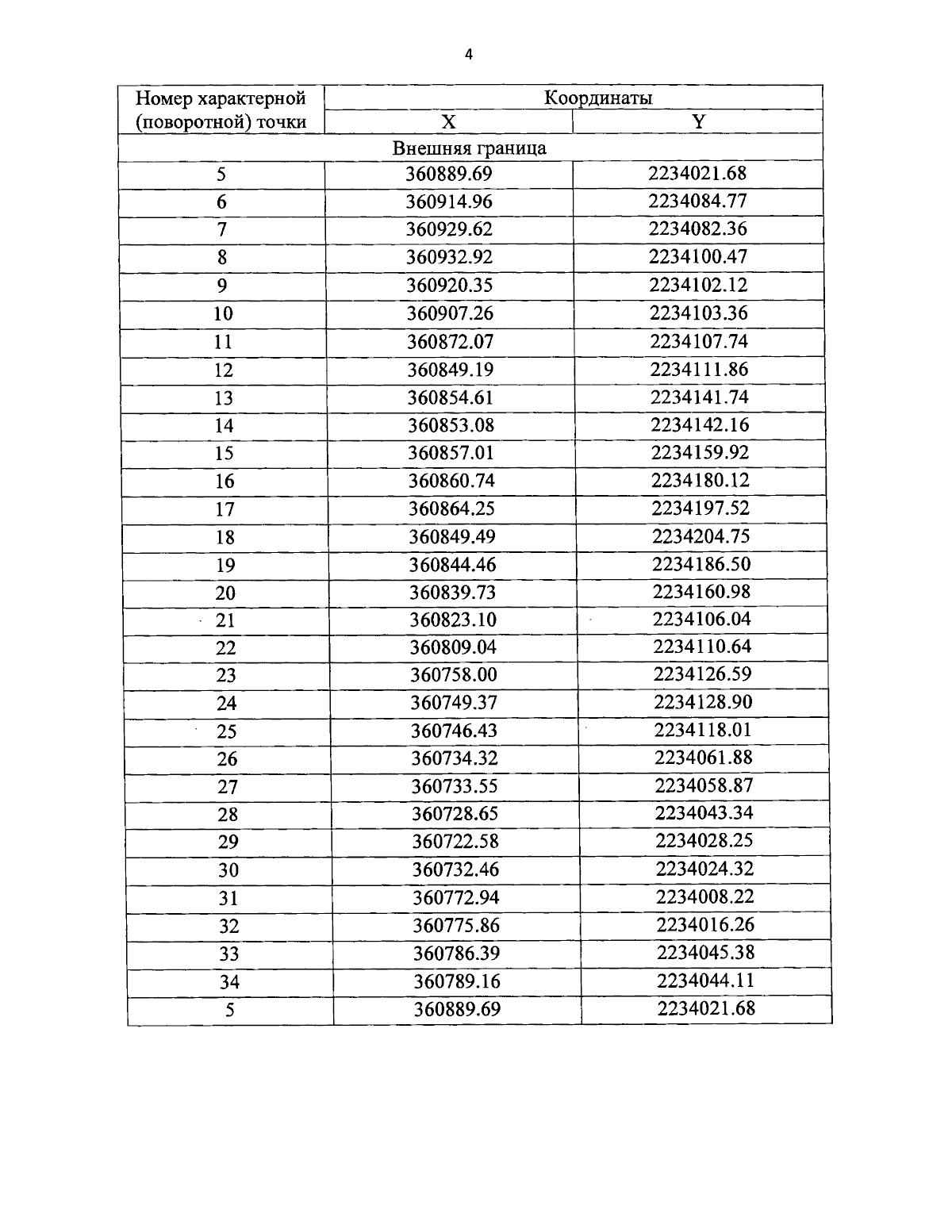
Приказ Управления государственной охраны объектов культурного наследия Самарской области от 12.09.2023 № 321
"Об утверждении границ территории и зон охраны объекта культурного наследия регионального значения "Здание церкви", расположенного по адресу: Нефтегорский район, с. Покровка, режимов использования земель и требований к градостроительным регламентам в границах данных зон"
(Зарегистрирован 12.09.2023 № УГООКН 23321)
Номер опубликования: 6301202309130001
Дата опубликования: 13.09.2023
Страница №6 из 15:
Увеличить