Официальное опубликование правовых актов
ОФИЦИАЛЬНОЕ ОПУБЛИКОВАНИЕ
Приказ Министерства сельского хозяйства и продовольствия Самарской области от 18.01.2023 № 8-п
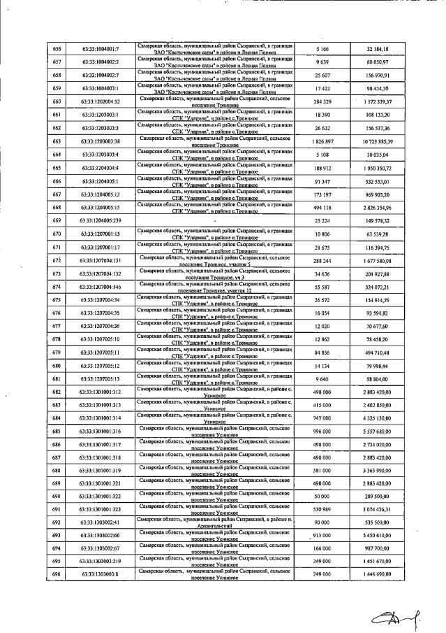
"О внесении изменений в приказ министерства сельского хозяйства и продовольствия Самарской области от 30.11.2021 № 337-п "Об утверждении перечня особо ценных продуктивных сельскохозяйственных угодий из состава земель сельскохозяйственного назначения на территории Самарской области, использование которых для других целей не допускается и о признании утратившим силу приказа министерства сельского хозяйства и продовольствия Самарской области от 13 мая 2014г. № 148-п"
(Зарегистрирован 18.01.2023 № МСХ-23-8)
Номер опубликования: 6301202301190001
Дата опубликования: 19.01.2023
Страница №22 из 47:
Увеличить