Официальное опубликование правовых актов
ОФИЦИАЛЬНОЕ ОПУБЛИКОВАНИЕ
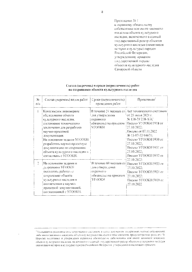
Приказ Управления государственной охраны объектов культурного наследия Самарской области от 13.12.2022 № 388
"Об утверждении охранного обязательства собственника или иного законного владельца объекта культурного наследия регионального значения "Дом Калачева", расположенного по адресу: г. Самара, ул. Куйбышева, 83"
Номер опубликования: 6301202212150007
Дата опубликования: 15.12.2022
Страница №10 из 15:
Увеличить