Официальное опубликование правовых актов
ОФИЦИАЛЬНОЕ ОПУБЛИКОВАНИЕ
Приказ Министерства энергетики и жилищно-коммунального хозяйства Самарской области от 02.12.2022 № 247
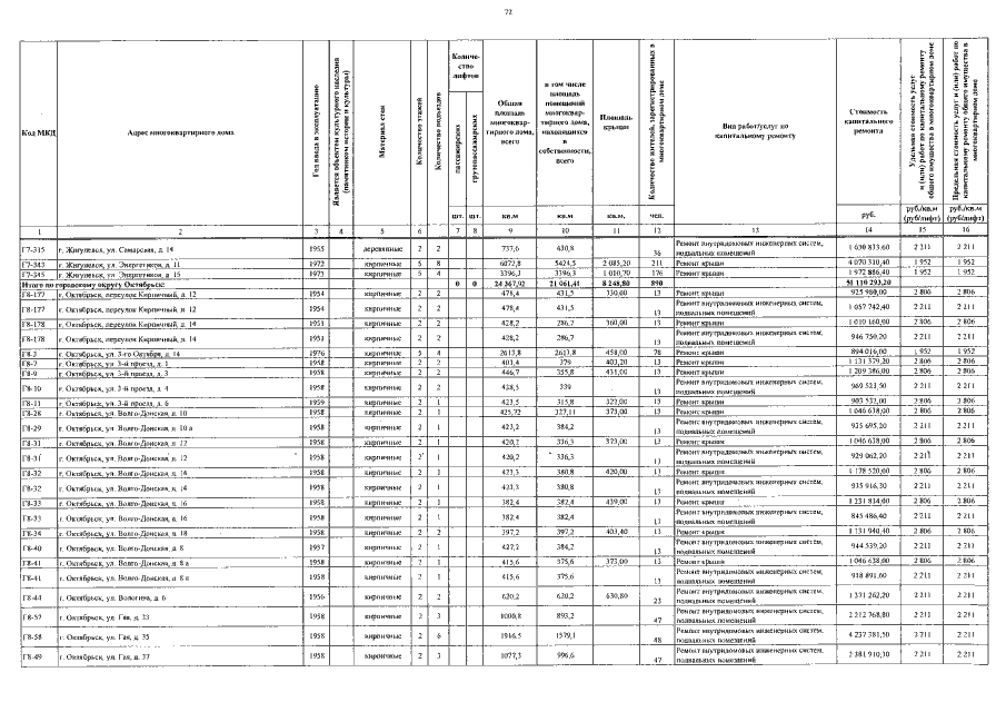
"О внесении изменений в приказ министерства энергетики и жилищно-коммунального хозяйства Самарской области от 28.12.2020 № 267 "Об утверждении регионального краткосрочного плана реализации региональной программы капитального ремонта общего имущества в многоквартирных домах, расположенных на территории Самарской области, на 2021 – 2023 годы"
Номер опубликования: 6301202212050005
Дата опубликования: 05.12.2022
Страница №74 из 105:
Увеличить