Официальное опубликование правовых актов
ОФИЦИАЛЬНОЕ ОПУБЛИКОВАНИЕ
Приказ Управления государственной охраны объектов культурного наследия Самарской области от 12.09.2022 № 246
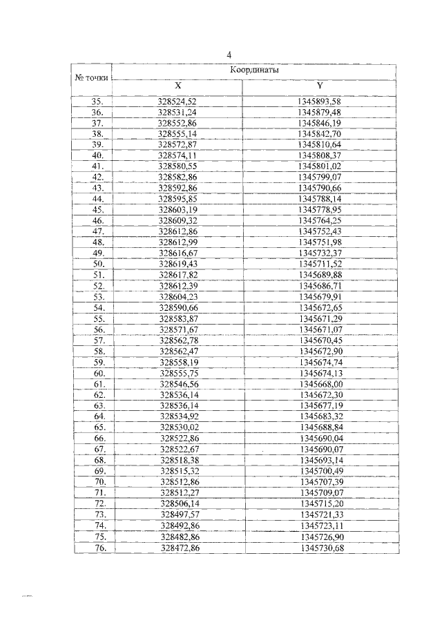
"Об исключении выявленного объекта культурного наследия из Перечня выявленных объектов культурного наследия Самарской области, включении его в единый государственный реестр объектов культурного наследия (памятников истории и культуры) народов Российской Федерации, утверждении границ территорий, режима использования территории и предмета охраны объекта культурного наследия"
Номер опубликования: 6301202209150013
Дата опубликования: 15.09.2022
Страница №8 из 18:
Увеличить