Официальное опубликование правовых актов
ОФИЦИАЛЬНОЕ ОПУБЛИКОВАНИЕ
Приказ Министерства экономического развития и инвестиций Самарской области от 17.12.2021 № 321
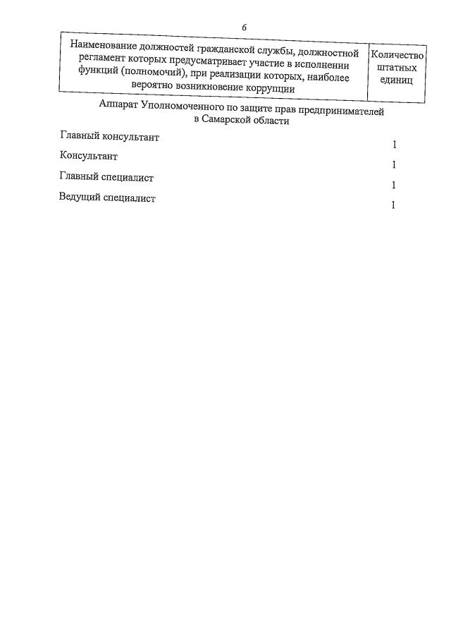
"Об утверждении Перечня должностей государственной гражданской службы Самарской области в министерстве экономического развития и инвестиций Самарской области, замещение которых связано с коррупционными рисками"
Номер опубликования: 6301202112210016
Дата опубликования: 21.12.2021
Страница №9 из 9:
Увеличить