Официальное опубликование правовых актов
ОФИЦИАЛЬНОЕ ОПУБЛИКОВАНИЕ
Приказ Департамента ценового и тарифного регулирования Самарской области от 10.11.2021 № 287
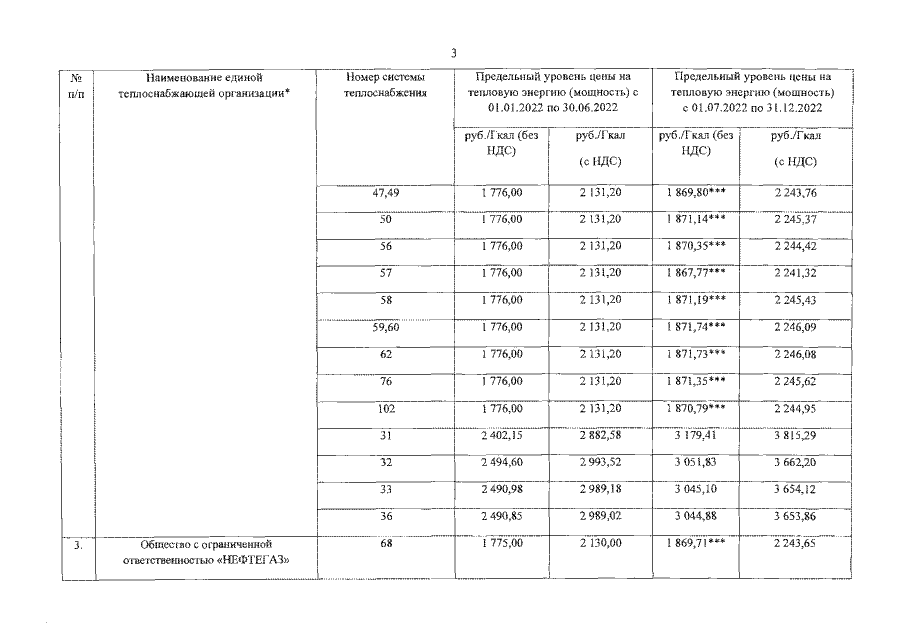
"Об утверждении предельного уровня цены на тепловую энергию (мощность) в ценовой зоне теплоснабжения в муниципальном образовании городском округе Самара Самарской области на 2022 год"
Номер опубликования: 6301202111110007
Дата опубликования: 11.11.2021
Страница №5 из 649:
Увеличить