Официальное опубликование правовых актов
ОФИЦИАЛЬНОЕ ОПУБЛИКОВАНИЕ
Приказ Министерства образования и науки Самарской области от 21.10.2021 № 493-од
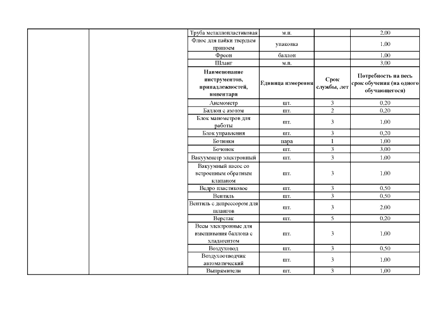
"О внесении изменения в приказ министерства образования и науки Самарской области от 03.07.2013 № 283-од "Об утверждении Норм расходов материалов, инструментов, принадлежностей и инвентаря государственных профессиональных образовательных организаций, находящихся в ведении Самарской области, на одного обучающегося при подготовке по профессиям и специальностям"
Номер опубликования: 6301202110270012
Дата опубликования: 27.10.2021
Страница №99 из 290:
Увеличить