Официальное опубликование правовых актов
ОФИЦИАЛЬНОЕ ОПУБЛИКОВАНИЕ
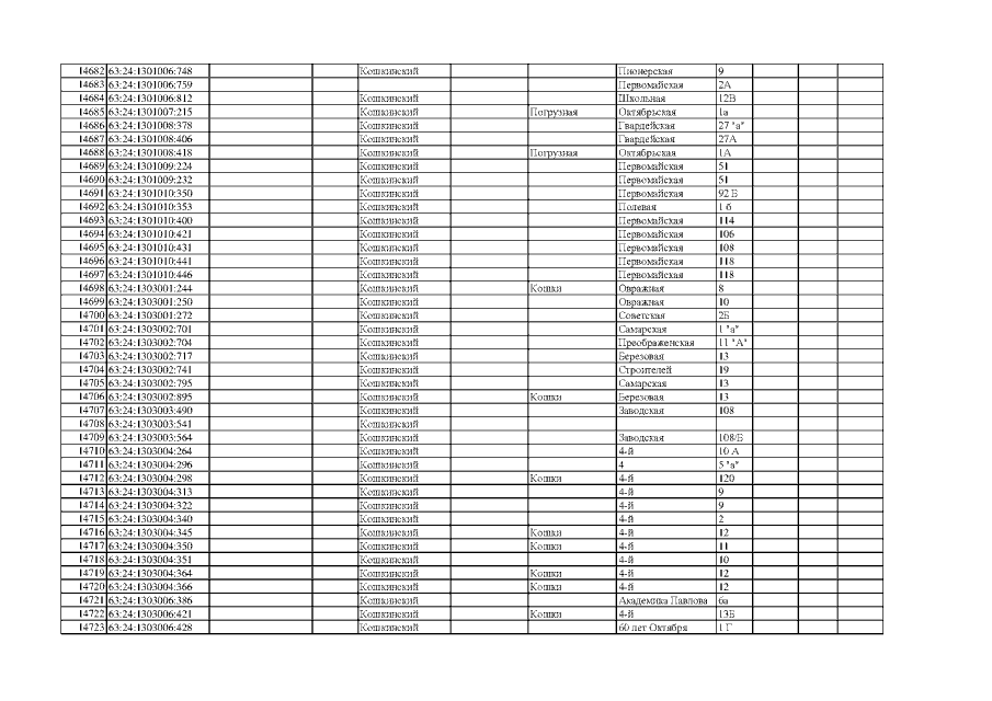
Приказ Министерства имущественных отношений Самарской области от 22.10.2021 № 2233
"Об определении Перечня объектов недвижимого имущества, находящихся на территории Самарской области, в отношении которых налоговая база определяется как их кадастровая стоимость для целей налогообложения, на 2022 год"
Номер опубликования: 6301202110220007
Дата опубликования: 22.10.2021
Страница №353 из 919:
Увеличить