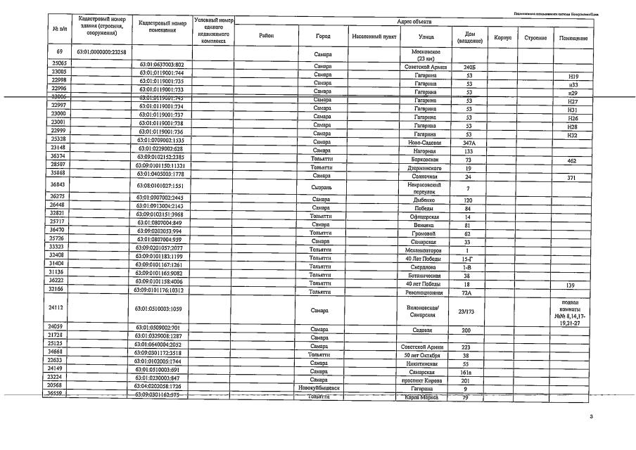
Приказ Министерства имущественных отношений Самарской области от 28.06.2021 № 1375
"О внесении изменений в приказ министерства имущественных отношений Самарской области от 29.10.2018 № 1608 "Об определении Перечня объектов недвижимого имущества, находящихся на территории Самарской области, в отношении которых налоговая база определяется как их кадастровая стоимость для целей налогообложения, на 2019 год""
"О внесении изменений в приказ министерства имущественных отношений Самарской области от 29.10.2018 № 1608 "Об определении Перечня объектов недвижимого имущества, находящихся на территории Самарской области, в отношении которых налоговая база определяется как их кадастровая стоимость для целей налогообложения, на 2019 год""
Номер опубликования: 6301202106300002
Дата опубликования:
30.06.2021
