Официальное опубликование правовых актов
ОФИЦИАЛЬНОЕ ОПУБЛИКОВАНИЕ
Приказ Министерства имущественных отношений Самарской области от 26.05.2021 № 1089
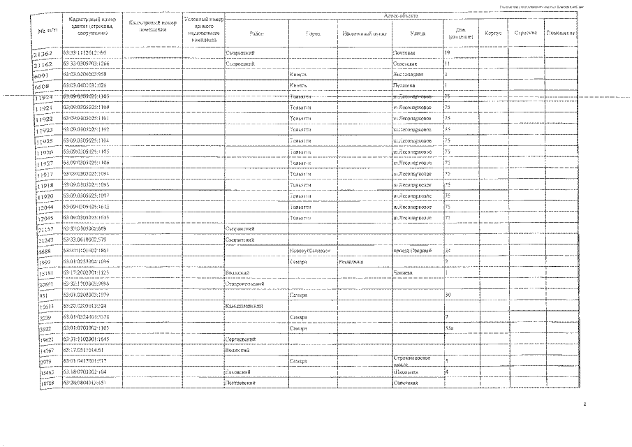
"О внесении изменений в приказ министерства имущественных отношений Самарской области от 07.10.2019 № 2201 "Об определении Перечня объектов недвижимого имущества, находящихся на территории Самарской области, в отношении которых налоговая база определяется как их кадастровая стоимость для целей налогообложения, на 2020 год"
Номер опубликования: 6301202105270004
Дата опубликования: 27.05.2021
Страница №8 из 13:
Увеличить